The Birthday Paradox
What’s the minimum number of people needed in a room to give greater than fifty percent chance that two people or more share the same birthday?
The simple answer is twenty-three. Back in 2005 whilst at boot camp studying my CISSP exam with fellow infoSec colleagues (We’re now called Cyber Security). The Birthday Paradox was briefly discussed and challenged. Out of the Eighteen of us staying at the lodge that week, it turned out that indeed two delegates shared the same birthday, amazing odds given there was only a 34.69% probability of this event occuring.
It’s this paradox that that’s used in various fields of mathematics (That’s Maths to our American friends since it’s plural) to discover collisions in algorithms, especially in the field of Cryptography which I’ve been working in for over thirty years (Has it really been this long?).
It’s a fluke you say! Is it I ask? Let’s look at the basic maths problem.
Do we have to? It’s soooo boring?
No you don’t you can skip to the point here:-
There’s 365 possible birthday dates in a year. Ah! but what about Leap Years I hear you cry. That’s true, people born on these dates choose their birthday as either 28th Feb or 1st March. Hence the problem is reduced to the basic number of days in a year.
When looking at the probability of two people sharing the same birthday, this inverse of this is asking what’s the probability two people don’t share the same birthday, and both probabilities are calculated easily.
Where: –
P(A) is the probability that two people share the same birthday.
P(A’) is the probability that two people don’t share the same birthday.
With that in mind P(A) = 1 – P(A’) since the same two people can not simultaneously share and not share the same birthday.
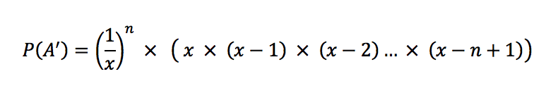
To calculate the probability of two people not sharing the same birthday, we’ll assign x = 365 for the days in the year, and n = number of people in the group.
Since P(A) = 1 – P(A’), then the probability of two people sharing the same birthday is
1 – 0.4927 = 0.5073 x 100 = 50.73%
We can see from the table below, the more people at your gathering, the higher the probability of a match. In-fact within a group of 50 people there’s a 97% chance, unless you’re mischievous and only invite people with unique birthdays.
| Number of People | Pairs to Search | Percent Probability of a Match |
| 2 | 1 | 0.27 |
| 3 | 3 | 0.82 |
| 4 | 6 | 1.64 |
| 5 | 10 | 2.71 |
| 6 | 15 | 4.05 |
| 7 | 21 | 5.62 |
| 8 | 28 | 7.43 |
| 9 | 36 | 9.46 |
| 10 | 45 | 11.69 |
| 11 | 55 | 14.11 |
| 12 | 66 | 16.70 |
| 13 | 78 | 19.44 |
| 14 | 91 | 22.31 |
| 15 | 105 | 25.29 |
| 23 | 253 | 50.73 |
| 30 | 435 | 70.63 |
| 35 | 595 | 81.44 |
| 40 | 780 | 89.12 |
| 45 | 990 | 94.10 |
| 50 | 1225 | 97.04 |
This is a bit heavy reading for one of your posts Jason?
Yeah, and I apologise for that, you see I’m getting old and sometimes need to remember this stuff, and did I mention I turned fifty recently? That’s 32 in hex to you 😘 The point is, I was asking my Neighbour to do me a favour whilst my Bubble Buddy sorted a lockdown birthday treat and amazing cake. When I discovered they had the same birthday as myself! What’s the probability of that event occurring? I’ll let you work that one out…
I had an amazing day, spoiled rotten and some amazing cards, one from baby Jessica who hand painted her card.
With all my ongoing health issues, who’d have thought I reach this ripe old age?
I have some amazing friends, and once lockdown is over we’ll celebrate in style when venues and visiting is permitted, until then, keep safe and thank you all so much!






Jason




